山东元联化学 - 专业生产聚天冬氨酸钠(PASP)。环保可生物降解聚合物,适用于洗涤剂和化妆品应用。CAS 181828-06-8。提供液体和粉末两种剂型。
山东元联化学有限公司
专业生产洗涤级与化妆品级聚天冬氨酸钠(PASP)
化学名称: 聚天冬氨酸钠
CAS号: 181828-06-8, 34345-47-6, 94525-01-6
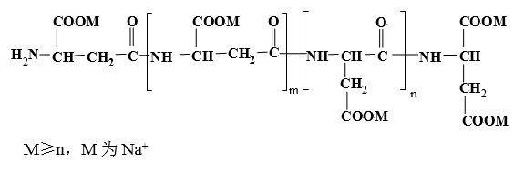
分子式: C₄H₅NO₃M(C₄H₄NO₃M)ₘ(C₄H₄NO₃M)ₙC₄H₄NO₃M₂
分子量: 6000-8000 或 10000-20000
别名:
聚天冬氨酸钠、聚天冬氨酸钠盐、PASP、PASP-Na、聚天冬氨酸、聚天冬酸钠

聚天冬氨酸钠是一种无磷、无毒、无污染且可完全生物降解的环保型化学品,属于聚氨基酸类。其结构主链上的肽键易被真菌、微生物等作用断裂,最终降解为对环境无害的水和二氧化碳,安全可靠。
聚天冬氨酸钠具有高亲水性和水溶性,可形成透气性保护膜,具备高效锁水保湿功能,能提升皮肤水分,使肌肤感觉光滑清爽。同时可补充皮肤营养,改善皮肤饱满度与弹性,具有紧致肌肤、减少皱纹的功效。
| 检测项目 | PASP液体 | PASP浅黄色粉末 | PASP白色粉末 |
|---|---|---|---|
| 外观 | 无色或浅黄色透明液体 | 浅黄色粉末 | 白色粉末 |
| 固含量/% | ≥ 25.0 | ≥ 95.0 | ≥ 95.0 |
| pH值(1%水溶液) | 7.0-8.0 | 7.0-8.0 | 7.0-8.0 |
| 气味 | 微弱气味 | 微弱气味 | 微弱气味 |
| 特性粘度(30℃)/(dL/g) | [η] ≥ 0.10 | [η] = 0.06-0.08 | [η] ≥ 0.10 |
家用护理产品:
洗衣粉
洗衣助剂
洗碗机洗涤剂
多功能清洁剂
浴室清洁剂
淋浴间清洁剂
玻璃清洁剂
地板清洁剂等
功能: 隔离、分散和防垢。在任何水质硬度条件下,防止洗衣粉及其他洗涤剂产生斑点和成膜,使清洁后的物品不留污渍或条纹。
个人护理品与化妆品:
面霜
乳液
精华液
泡沫洗手液
沐浴露
洗发水等
功能: 螯合、成膜和润滑。改善肌肤触感;减少摩擦使涂抹更顺滑;保湿肌肤。
液体产品:
25公斤/桶、250公斤/桶、1250公斤/桶(可根据用户需求定制包装)
粉末产品:
牛皮纸袋包装
储存条件:
密封存于室内阴凉避光处。液体产品建议在室温或更低温度下储存。
PASP呈碱性,操作时请注意劳动保护,避免与皮肤、眼睛等接触。如不慎接触,请立即用大量清水冲洗。
联系我们:
如需更多产品信息、技术资料或样品申请,欢迎联系山东元联化学有限公司。
免责声明:
本产品信息基于现有知识和技术数据,仅供参考。使用前请根据实际应用进行测试验证,确保符合您的需求和相关法规标准。