BHMTPMPA(CAS: 34690-00-1)是一种高效螯合型阻垢剂,对碳酸盐和硫酸盐垢具有优异的抑制效果,耐高温、适应宽pH范围,广泛应用于油田水处理、工业循环冷却水和锅炉水处理系统。
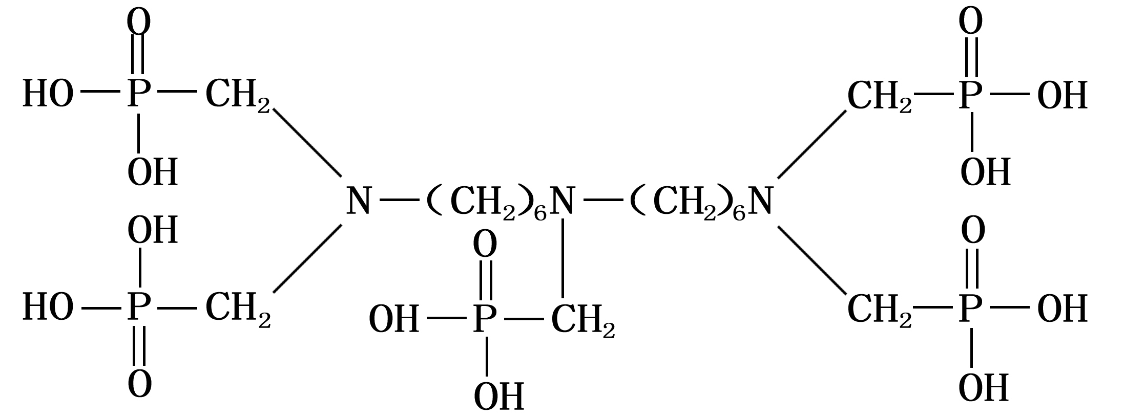
产品名称:双己烯三胺五亚甲基膦酸 (BHMTPMPA)
CAS号:34690-00-1
分子式:C17H44O15N3P5
分子量:685
别名:BHMT;BHMTPMP;六亚甲基三胺五亚甲基膦酸;双(六亚甲基三胺五亚甲基膦酸);部分中和钠盐

BHMTPMPA是一种高效螯合型阻垢剂,对碳酸盐垢和硫酸盐垢具有优异的阻垢效果。该产品在广泛的pH范围和120℃的高温条件下仍保持优良的水溶性和热稳定性,且对钙离子具有高容忍度。广泛应用于油田水处理、工业循环冷却水和锅炉水处理中的缓蚀阻垢剂。
高效阻垢性能:对碳酸盐和硫酸盐垢具有出色的抑制能力
优异的热稳定性:在120℃高温条件下仍保持稳定性能
广泛的pH适应性:在多种pH条件下均能发挥有效作用
高钙离子容忍度:适用于高硬度水质条件
良好的水溶性:易于配制和使用
| 项目 | 规格 |
|---|---|
| 外观 | 深琥珀色液体 |
| 活性组分含量 % | 43.0-48.0 |
| 氯化物 (Cl⁻) % | ≤ 6.0 |
| 铁含量 (Fe), mg/L | ≤ 35 |
| 密度 (20℃), g/cm³ | ≥ 1.2 |
| pH值 (1%水溶液) | ≤ 2.0 |
BHMTPMPA广泛应用于以下领域:
油田水处理:用作注水系统的缓蚀阻垢剂
工业循环冷却水:防止换热设备和管道的结垢与腐蚀
锅炉水处理:有效控制锅炉系统中的沉积物形成
其他工业水系统:适用于各种需要阻垢处理的工业用水系统
BHMTPMPA可单独使用,也可与聚羧酸类阻垢剂和分散剂复配使用,以获得更佳的处理效果。推荐使用浓度根据具体水质条件和系统参数确定。
包装:25kg/塑料桶
储存:储存于室内阴凉通风处,避免高温和阳光直射,保质期1年
本品为酸性物质,操作时请注意劳动保护,避免与皮肤、眼睛等接触。如不慎接触,请立即用大量清水冲洗。如需更详细的安全信息,请参阅材料安全数据表(MSDS)。
如需产品技术说明书(TDS)、材料安全数据表(MSDS)或分析报告(COA),请与我们联系。